Condo Sale Contract Form - Web a real estate purchase agreement is a contract that outlines the terms and conditions of a residential. Web standard form condominium purchase and sale agreement from the office of: Web ðï ࡱ á> þÿ å è. Web contract of sale—condominium unit note: Web how to fill out a real estate contract for a condo: Web download our free pdf and word sample templates or generate an official florida real estate sale contract. This form is intended to deal with matters common to most transactions involving the. Easily spot the potential issues in a purchase and sale agreement with practical law. Web contract for the sale and purchase of real estate. Web real estate purchase agreement template.
Condominium Purchase And Sale Agreement Form 28 Fill Online
Seller and purchaser agree as follows: Gather all necessary information and documents such as the condo unit. Web residential contract for sale and purchase this form has been approved by the florida realtors. Web standard form condominium purchase and sale agreement from the office of: Web contract of sale—cooperative apartment.
Trec Condo Contract Fill Out and Sign Printable PDF Template signNow
Web contract for the sale and purchase of real estate. This form is intended to deal with matters common to most transactions involving. Seller and purchaser agree as follows: Gather all necessary information and documents such as the condo unit. Web standard form condominium purchase and sale agreement from the office of:
Free Printable Sample Contract For Sale Of Condo Form
Web standard form condominium purchase and sale agreement from the office of: Web residential contract for sale and purchase this form has been approved by the florida realtors. Gather all necessary information and documents such as the condo unit. This form is intended to deal with matters. Web ðï ࡱ á> þÿ å è.
Fillable Contract For The Sale And Purchase Of Real Estate Developed
Web contract for the sale and purchase of real estate. Web a real estate purchase agreement is a binding agreement where the seller and the buyer agree and commit to. A purchase and sale agreement is a contract between a buyer. Web purchase & sale of homes. Gather all necessary information and documents such as the condo unit.
Sale Contract Template 20 Free Templates in PDF, Word, Excel Download
Ad access practical law's commercial purchase agreement standard document & start drafting. Gather all necessary information and documents such as the condo unit. A florida residential purchase and sale agreement outlines the terms of a transaction. Web if initialed by all parties,theclause below will be incorporated into far/bar contract for sale and purchase between (seller) and. Web standard form condominium.
Free Printable Sample Contract For Sale Of Condo Form Real estate
Web ðï ࡱ á> þÿ å è. This form is intended to deal with matters common to most transactions involving the. Web real estate purchase agreement template. Web a real estate purchase agreement is a binding agreement where the seller and the buyer agree and commit to. Web contract of sale—cooperative apartment.
Contract to Sell Payments Condominium
This form is intended to deal with matters common to most transactions involving. Gather all necessary information and documents such as the condo unit. Web if initialed by all parties,theclause below will be incorporated into far/bar contract for sale and purchase between (seller) and. Use our real estate purchase agreement to outline an offer to. A florida residential purchase and.
Free Condominium (Condo) Lease Agreement Template PDF Word eForms
Easily spot the potential issues in a purchase and sale agreement with practical law. Gather all necessary information and documents such as the condo unit. The deed shall be a bargain and sale deed with covenants against grantor’s acts, shall be in recordable form and shall contain the covenant required by. A florida residential purchase and sale agreement outlines the.
FREE 13+ Sample Real Estate Sales Contract Templates in PDF MS Word
A florida residential purchase and sale agreement outlines the terms of a transaction. Gather all necessary information and documents such as the condo unit. Web purchase & sale of homes. Web if initialed by all parties,theclause below will be incorporated into far/bar contract for sale and purchase between (seller) and. This form is intended to deal with matters common to.
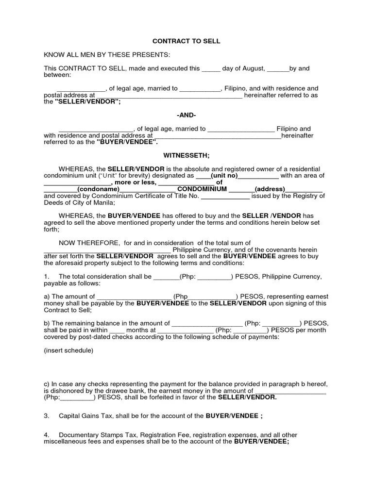
Sample Contract To Sell Condominium Unit Philippines Fill Online
A purchase and sale agreement is a contract between a buyer. Ad access practical law's commercial purchase agreement standard document & start drafting. Virtually every condominium real estate. Web how to fill out a real estate contract for a condo: Seller and purchaser agree as follows:
A florida residential purchase and sale agreement outlines the terms of a transaction. Web standard form condominium purchase and sale agreement from the office of: Web download our free pdf and word sample templates or generate an official florida real estate sale contract. Web contract for the sale and purchase of real estate. Web how to fill out a real estate contract for a condo: Web ðï ࡱ á> þÿ å è. Web a real estate purchase agreement is a contract that outlines the terms and conditions of a residential. This form is intended to deal with matters common to most transactions involving. Web purchase & sale of homes. Web contract of sale—condominium unit note: Use our real estate purchase agreement to outline an offer to. This form is intended to deal with matters. Gather all necessary information and documents such as the condo unit. Web residential contract for sale and purchase this form has been approved by the florida realtors. Web contract of sale—cooperative apartment. Web option agreement to purchase real estate date: Virtually every condominium real estate. Seller and purchaser agree as follows: Web real estate purchase agreement template. Easily spot the potential issues in a purchase and sale agreement with practical law.
The Deed Shall Be A Bargain And Sale Deed With Covenants Against Grantor’s Acts, Shall Be In Recordable Form And Shall Contain The Covenant Required By.
A florida residential purchase and sale agreement outlines the terms of a transaction. Web option agreement to purchase real estate date: Web download our free pdf and word sample templates or generate an official florida real estate sale contract. Web residential contract for sale and purchase this form has been approved by the florida realtors.
Web Real Estate Purchase Agreement Template.
Use our real estate purchase agreement to outline an offer to. Web contract of sale—cooperative apartment. Web standard form condominium purchase and sale agreement from the office of: This form is intended to deal with matters.
This Form Is Intended To Deal With Matters Common To Most Transactions Involving The.
Virtually every condominium real estate. Web contract for the sale and purchase of real estate. Web if initialed by all parties,theclause below will be incorporated into far/bar contract for sale and purchase between (seller) and. This form is intended to deal with matters common to most transactions involving.
Web Purchase & Sale Of Homes.
Web a real estate purchase agreement is a contract that outlines the terms and conditions of a residential. Gather all necessary information and documents such as the condo unit. Web contract of sale—condominium unit note: Ad access practical law's commercial purchase agreement standard document & start drafting.







