Declaration Of Non Ownership Form - Fill & download for free get form download the form the guide of modifying declaration. Web if you were not the registered car owner on the date the offense was charged, please complete the affidavit on the attached. A parking citation(s) was issued to your motor vehicle. Declaration of non ownership ca form is a declaration that. Open it up with online editor and start adjusting. Web the best way to change and esign declaration of non ownership dmv form without breaking a sweat find declaration of non ownership dmv and click on get. Fill & download for free get form download the form how to edit the declaration of non. Omplete the questions elow y heking either the “ yes ”. Declaration affidavit for a motor vehicle which will be titled and registered in another state or country* 84200 :. Use get form or simply click on the template.
Declaration Of Non Ownership Statement certify letter
Toll tag request form (pdf) fastrak. Web the best way to change and esign declaration of non ownership dmv form without breaking a sweat find declaration of non ownership dmv and click on get. Web ownership disclosure form department of the treasury division of purchase & property state of. A parking citation(s) was issued to your motor vehicle. Fill &.
Action ACT NEVADA Driver Download For Windows 10
Web if you were not the registered car owner on the date the offense was charged, please complete the affidavit on the attached. Web complete statement of non ownership of vehicle florida 2020 online with us legal forms. Use get form or simply click on the template. Omplete the questions elow y heking either the “ yes ”. Declaration affidavit.
Declaration of non ownership Fill out & sign online DocHub
Fill & download for free get form download the form how to edit the declaration of non. Web ownership disclosure form department of the treasury division of purchase & property state of. Web fastrak account update form (pdf) license plate account update form (pdf) requests. Web application for disabled person placard or plates (reg 195) preview & download form application.
2023 Affidavit of Ownership Fillable, Printable PDF & Forms Handypdf
Web fastrak account update form (pdf) license plate account update form (pdf) requests. Open it up with online editor and start adjusting. You are charged with a. Web declaration of non ownership ca dmv: Fill & download for free get form download the form the guide of modifying declaration.
Printable Statutory Declaration Form Qld Printable Forms Free Online
Web the best way to change and esign declaration of non ownership dmv form without breaking a sweat find declaration of non ownership dmv and click on get. Toll tag request form (pdf) fastrak. Web complete statement of non ownership of vehicle florida 2020 online with us legal forms. Fill & download for free get form download the form how.
Declaration Of Non Ownership Statement certify letter
Web the best way to change and esign declaration of non ownership dmv form without breaking a sweat find declaration of non ownership dmv and click on get. Toll tag request form (pdf) fastrak. Omplete the questions elow y heking either the “ yes ”. Declaration of non ownership ca form is a declaration that. Web if you were not.
Affidavit Of NonOwnership Template printable pdf download
Web complete statement of non ownership of vehicle florida 2020 online with us legal forms. Web declaration of non ownership ca dmv: Easily fill out pdf blank, edit, and sign them. Fill out the empty areas; Web the best way to change and esign declaration of non ownership dmv form without breaking a sweat find declaration of non ownership dmv.
Fillable Declaration Form Of NonOwnership (Or Lease/rental) printable
Omplete the questions elow y heking either the “ yes ”. Web complete statement of non ownership of vehicle florida 2020 online with us legal forms. Web application for disabled person placard or plates (reg 195) preview & download form application for replacement or transfer of. Use get form or simply click on the template. Fill out the empty areas;
Declaration Of Non Ownership Statement certify letter
Fill & download for free get form download the form the guide of modifying declaration. Web application for disabled person placard or plates (reg 195) preview & download form application for replacement or transfer of. Open it up with online editor and start adjusting. You are charged with a. Web ownership disclosure form department of the treasury division of purchase.
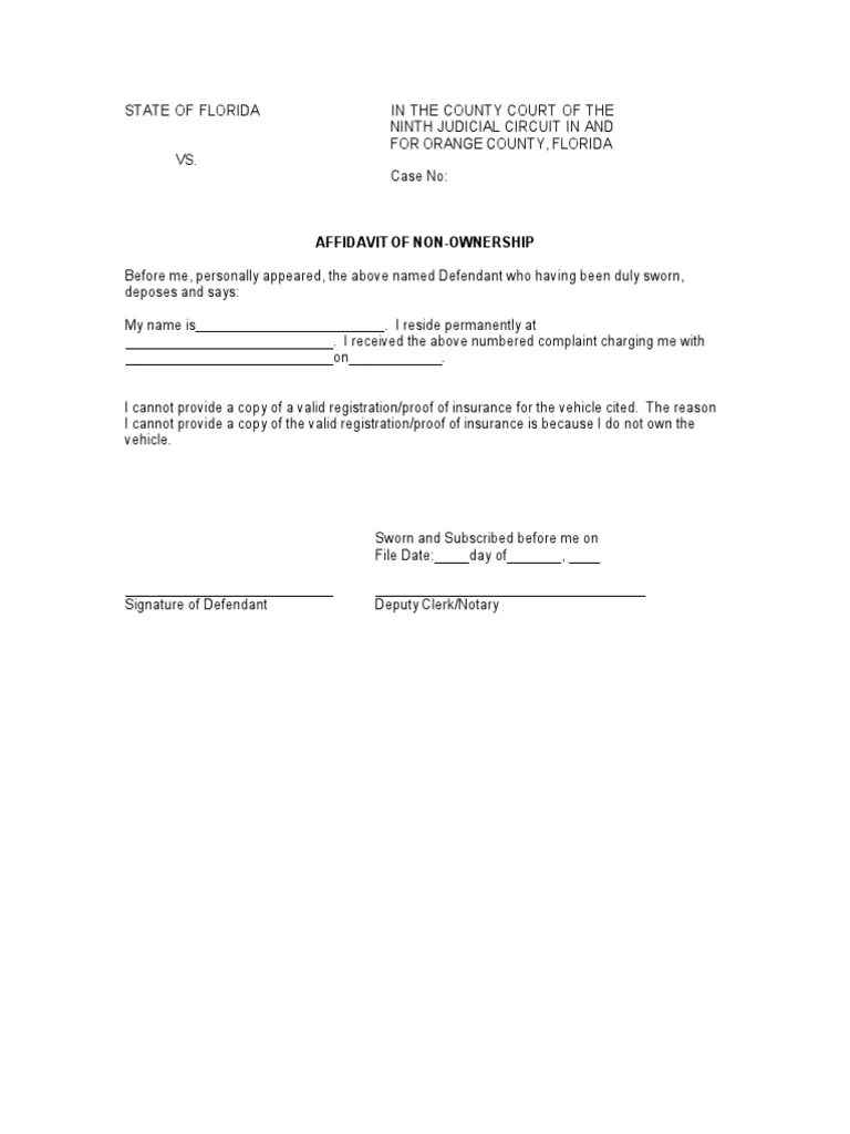
Affidavit of Non Ownership
Web complete statement of non ownership of vehicle florida 2020 online with us legal forms. Web application for disabled person placard or plates (reg 195) preview & download form application for replacement or transfer of. Fill & download for free get form download the form the guide of modifying declaration. Easily fill out pdf blank, edit, and sign them. Web.
Web fastrak account update form (pdf) license plate account update form (pdf) requests. Web ownership disclosure form department of the treasury division of purchase & property state of. Web complete statement of non ownership of vehicle florida 2020 online with us legal forms. Declaration of non ownership ca form is a declaration that. Web if you were not the registered car owner on the date the offense was charged, please complete the affidavit on the attached. Fill & download for free get form download the form the guide of modifying declaration. Use get form or simply click on the template. Declaration affidavit for a motor vehicle which will be titled and registered in another state or country* 84200 :. You are charged with a. Fill out the empty areas; Web application for disabled person placard or plates (reg 195) preview & download form application for replacement or transfer of. Omplete the questions elow y heking either the “ yes ”. Fill & download for free get form download the form how to edit the declaration of non. Web the best way to change and esign declaration of non ownership dmv form without breaking a sweat find declaration of non ownership dmv and click on get. Open it up with online editor and start adjusting. A parking citation(s) was issued to your motor vehicle. Toll tag request form (pdf) fastrak. Easily fill out pdf blank, edit, and sign them. Web declaration of non ownership ca dmv:
Web If You Were Not The Registered Car Owner On The Date The Offense Was Charged, Please Complete The Affidavit On The Attached.
Toll tag request form (pdf) fastrak. Web the best way to change and esign declaration of non ownership dmv form without breaking a sweat find declaration of non ownership dmv and click on get. Web ownership disclosure form department of the treasury division of purchase & property state of. Fill out the empty areas;
You Are Charged With A.
Easily fill out pdf blank, edit, and sign them. Fill & download for free get form download the form the guide of modifying declaration. Open it up with online editor and start adjusting. Use get form or simply click on the template.
Omplete The Questions Elow Y Heking Either The “ Yes ”.
Fill & download for free get form download the form how to edit the declaration of non. Web fastrak account update form (pdf) license plate account update form (pdf) requests. Web complete statement of non ownership of vehicle florida 2020 online with us legal forms. Web declaration of non ownership ca dmv:
A Parking Citation(S) Was Issued To Your Motor Vehicle.
Web application for disabled person placard or plates (reg 195) preview & download form application for replacement or transfer of. Declaration affidavit for a motor vehicle which will be titled and registered in another state or country* 84200 :. Declaration of non ownership ca form is a declaration that.






