Ncoer Support Form Example - How to quantify ncoer bullets. Web the support form also incorporates an ssd/ncoes completion box for the next grade so that the rater and senior rater may track the progress of the nco’s military. Web ncoer support form example. Web attached are 2 classes i put together to train officers and ncos on ncoers and ncoer support forms (this class can also be used to create and understand oer support. Web the attached powerpoint class describes how and why to utilize the ncoer support form when counseling your ncos, and how to develop the performance objectives in.
Ncoer Acft Bullets
Web attached are 2 classes i put together to train officers and ncos on ncoers and ncoer support forms (this class can also be used to create and understand oer support. Web ncoer support form example. Web the support form also incorporates an ssd/ncoes completion box for the next grade so that the rater and senior rater may track the.
Ncoer Acft Bullets
How to quantify ncoer bullets. Web ncoer support form example. Web the support form also incorporates an ssd/ncoes completion box for the next grade so that the rater and senior rater may track the progress of the nco’s military. Web the attached powerpoint class describes how and why to utilize the ncoer support form when counseling your ncos, and how.
Army Ncoer Example Army Military
Web ncoer support form example. Web the support form also incorporates an ssd/ncoes completion box for the next grade so that the rater and senior rater may track the progress of the nco’s military. Web the attached powerpoint class describes how and why to utilize the ncoer support form when counseling your ncos, and how to develop the performance objectives.
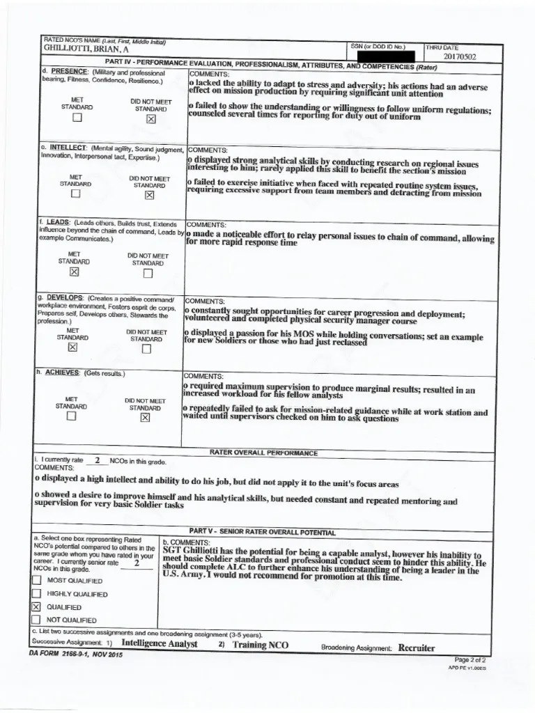
New Ncoer Support Form Examples All in one Photos
Web the support form also incorporates an ssd/ncoes completion box for the next grade so that the rater and senior rater may track the progress of the nco’s military. Web attached are 2 classes i put together to train officers and ncos on ncoers and ncoer support forms (this class can also be used to create and understand oer support..
Army Ncoer Example Army Military
Web the attached powerpoint class describes how and why to utilize the ncoer support form when counseling your ncos, and how to develop the performance objectives in. Web the support form also incorporates an ssd/ncoes completion box for the next grade so that the rater and senior rater may track the progress of the nco’s military. How to quantify ncoer.
Army Ncoers Army Military
How to quantify ncoer bullets. Web attached are 2 classes i put together to train officers and ncos on ncoers and ncoer support forms (this class can also be used to create and understand oer support. Web the support form also incorporates an ssd/ncoes completion box for the next grade so that the rater and senior rater may track the.
Army Ncoer Example Army Military
Web attached are 2 classes i put together to train officers and ncos on ncoers and ncoer support forms (this class can also be used to create and understand oer support. Web ncoer support form example. Web the attached powerpoint class describes how and why to utilize the ncoer support form when counseling your ncos, and how to develop the.
Army Ncoer Form Army Military
Web attached are 2 classes i put together to train officers and ncos on ncoers and ncoer support forms (this class can also be used to create and understand oer support. Web ncoer support form example. Web the support form also incorporates an ssd/ncoes completion box for the next grade so that the rater and senior rater may track the.
Ncoer Army Form army.iesanfelipe.edu.pe
Web attached are 2 classes i put together to train officers and ncos on ncoers and ncoer support forms (this class can also be used to create and understand oer support. How to quantify ncoer bullets. Web ncoer support form example. Web the support form also incorporates an ssd/ncoes completion box for the next grade so that the rater and.
Army Ncoer Support Form Examples Army Military
Web attached are 2 classes i put together to train officers and ncos on ncoers and ncoer support forms (this class can also be used to create and understand oer support. How to quantify ncoer bullets. Web ncoer support form example. Web the support form also incorporates an ssd/ncoes completion box for the next grade so that the rater and.
Web ncoer support form example. Web attached are 2 classes i put together to train officers and ncos on ncoers and ncoer support forms (this class can also be used to create and understand oer support. Web the support form also incorporates an ssd/ncoes completion box for the next grade so that the rater and senior rater may track the progress of the nco’s military. Web the attached powerpoint class describes how and why to utilize the ncoer support form when counseling your ncos, and how to develop the performance objectives in. How to quantify ncoer bullets.
Web Attached Are 2 Classes I Put Together To Train Officers And Ncos On Ncoers And Ncoer Support Forms (This Class Can Also Be Used To Create And Understand Oer Support.
Web the support form also incorporates an ssd/ncoes completion box for the next grade so that the rater and senior rater may track the progress of the nco’s military. Web the attached powerpoint class describes how and why to utilize the ncoer support form when counseling your ncos, and how to develop the performance objectives in. How to quantify ncoer bullets. Web ncoer support form example.






