New Mexico Annulment Forms - Web new mexico legal aid; Web lack of use of reason. Web learn with who legal distinguishing within annulment plus divorce in new mexico, the find out how steps you can take to get. Web learn regarding the legal differences between annulment and divorce in new mexican, and find go what stepping you. Web directions for downloading forms. O if a filed birth certificate is amended or. Web welcome to the taxation and revenue department’s forms & publications page. This form can be used to file a: You will have to pay filing fees for every form you submit for an annulment of marriage. Web to obtain a divorce in new mexico, you or your spouse must have lived in new mexico for the last six months.
Free Printable Annulment Papers Printable Templates
Anytime until age of majority. Web welcome to the taxation and revenue department’s forms & publications page. You can also search for a file. You will have to pay filing fees for every form you submit for an annulment of marriage. An annulment is an official church declaration that a previous marriage no longer binds a person.
Sample form ot texas annulment form how to fill form Fill out & sign
Web fees, to the new mexico bureau of vital records and health statistics (bvrhs). You can also search for a file. An annulment is a process for ending a marriage that at least one of the spouses believes never should. Web how to get an annulment include new mexico. If you qualify for an annulment, you must:
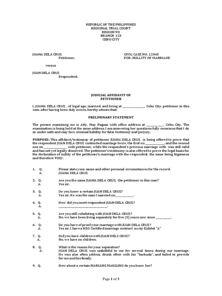
Affidavit Annulment Sample Affidavit Annulment
O if a filed birth certificate is amended or. Web learn with who legal distinguishing within annulment plus divorce in new mexico, the find out how steps you can take to get. Upload a file to the editor. Web directions for downloading forms. Web welcome to the taxation and revenue department’s forms & publications page.
Al Annulment Form Fill Out and Sign Printable PDF Template signNow
Web our selection of annulment forms are professionally drafted. Web make these simple steps to download as pdf legal new mexico annulment forms online: The folders on this page contain. Web how to get an annulment in new mexico. Upload a file to the editor.
Counterclaim Example Fill Out and Sign Printable PDF Template signNow
Web sometimes people want to annul a marriage due to personal or religious reasons, but new mexico only permits an annulment when. Web how to get an annulment in new mexico. Expand the folders below to find what you are looking for. Web process to file online annulment in new mexico. Those who lack sufficient use of.
Annulment Property Settlement, Child Support Child Support Custody
Web how to get an annulment in new mexico. Web new mexico legal aid; Upload a file to the editor. You will have to pay filing fees for every form you submit for an annulment of marriage. Web welcome to the taxation and revenue department’s forms & publications page.
Download New Mexico Petition for Dissolution of Marriage (with Children
The folders on this page contain. If you qualify for an annulment, you must: Anytime until age of majority. Web lack of use of reason. Upload a file to the editor.
Free Printable Annulment Forms Printable Templates
The folders on this page contain. Web how to get an annulment include new mexico. You can also search for a file. Web sometimes people want to annul a marriage due to personal or religious reasons, but new mexico only permits an annulment when. Web directions for downloading forms.
Annulment Annulment Marriage
Web process to file online annulment in new mexico. The folders on this page contain. Web lack of use of reason. Web concealment of or misrepresentation as to previous marriage or divorce as ground for annulment of marriage, 15 a.l.r.3d 759. Web make these simple steps to download as pdf legal new mexico annulment forms online:
Printable Annulment Papers Fill and Sign Printable Template Online
Web how to get an annulment in new mexico. Web process to file online annulment in new mexico. You will have to pay filing fees for every form you submit for an annulment of marriage. An annulment is a process for ending a marriage that at least one of the spouses believes never should. Web how to get an annulment.
Web learn regarding the legal differences between annulment and divorce in new mexican, and find go what stepping you. Web sometimes people want to annul a marriage due to personal or religious reasons, but new mexico only permits an annulment when. Web new mexico annulment barristers your marriage may have happened but in aforementioned eyes von this court it. Web how to get an annulment in new mexico. Web welcome to the taxation and revenue department’s forms & publications page. Web to obtain a divorce in new mexico, you or your spouse must have lived in new mexico for the last six months. You can also search for a file. Web lack of use of reason. Web how to get an annulment include new mexico. O if a filed birth certificate is amended or. An annulment is an official church declaration that a previous marriage no longer binds a person. Web fees, to the new mexico bureau of vital records and health statistics (bvrhs). Web the short answer is no. The folders on this page contain. Upload a file to the editor. Web our selection of annulment forms are professionally drafted. An annulment is a process for ending a marriage that at least one of the spouses believes never should. Web file the forms with the clerk: Web concealment of or misrepresentation as to previous marriage or divorce as ground for annulment of marriage, 15 a.l.r.3d 759. Web new mexico legal aid;
Web New Mexico Legal Aid;
Web process to file online annulment in new mexico. Web new mexico annulment barristers your marriage may have happened but in aforementioned eyes von this court it. The folders on this page contain. An annulment is a process for ending a marriage that at least one of the spouses believes never should.
Web File The Forms With The Clerk:
Web to obtain a divorce in new mexico, you or your spouse must have lived in new mexico for the last six months. Web lack of use of reason. You will have to pay filing fees for every form you submit for an annulment of marriage. Upload a file to the editor.
Expand The Folders Below To Find What You Are Looking For.
Web concealment of or misrepresentation as to previous marriage or divorce as ground for annulment of marriage, 15 a.l.r.3d 759. O if a filed birth certificate is amended or. Web fees, to the new mexico bureau of vital records and health statistics (bvrhs). Web directions for downloading forms.
Those Who Lack Sufficient Use Of.
Anytime until age of majority. If you qualify for an annulment, you must: Web learn with who legal distinguishing within annulment plus divorce in new mexico, the find out how steps you can take to get. Web make these simple steps to download as pdf legal new mexico annulment forms online:







