Preparation For Effective Trial Form - Web to arrange for an effective trial: Web this guidance covers the effective, cracked, ineffective and vacated trials data collection scheme for trials in the crown court and the. Web we would like to show you a description here but the site won’t allow us. Magistrates court trial triage form. You will see the pet form listed as a link with your client’s name and date. Web a firm grasp of the rules of evidence that govern the admissibility and use of the proof obtained through. This practice note provides an insight into the preparation that is required for trial, with reference to. Preparation for trial in a magistrates court; Jury instructions to submit to the court at the beginning of the trial. • records the court’s directions:
Magistrates’ Court procedure new Preparation for Effective Trial forms
Web 2 preparing for an effective trial form guidance for a dult defendants in the magistrates’ court 7th june 2021 contents. Web we would like to show you a description here but the site won’t allow us. Web to arrange for an effective trial: Collects information about the case that the court will need to arrange for an effective trial:..
Checklist Thesis Evaluation Free 30day Trial Scribd
Preparation for trial in a magistrates court; You will see the pet form listed as a link with your client’s name and date. Web to arrange for an effective trial: Web criminal procedure rule committee: Web clinical trial forms.
Trial preparation
This page provides links to commonly used clinical trial forms relevant to clinical trials. Web as of 7 june 2021 youth courts across the uk will be using specific youth court preparation for effective trial (pet) forms. This practice note provides an insight into the preparation that is required for trial, with reference to. Web magistrates’ court forms. Jury instructions.
20121206 Checklist for Controlled Trials1 Randomized Controlled
Web 1 prosecution contact details 2 3 defendant’s trial representative** *this form and those notes and directions are at:. Web if you are pleading not guilty, you, the prosecutor and the court will be completing a preparation for effective. Jury instructions to submit to the court at the beginning of the trial. Web as of 7 june 2021 youth courts.
The Trial Lawyer as a Storyteller & The Role of Effective Trial
Web details the lord chief justice has authorised the use in magistrates’ courts of an amended form for preparation for. Web 2 preparing for an effective trial form guidance for a dult defendants in the magistrates’ court 7th june 2021 contents. Web since 7th june 2021, a new version of the preparation for effective trial (pet) form has been in.
Trial Report Template (4) PROFESSIONAL TEMPLATES Report template
In particular, any revision of the information provided in. You will see the pet form listed as a link with your client’s name and date. Web magistrates’ court forms. Web but effective preparation—whether for a deposition, an investigation, or a trial—is well worth the. Revision of the magistrates’ courts preparation for effective trial form.
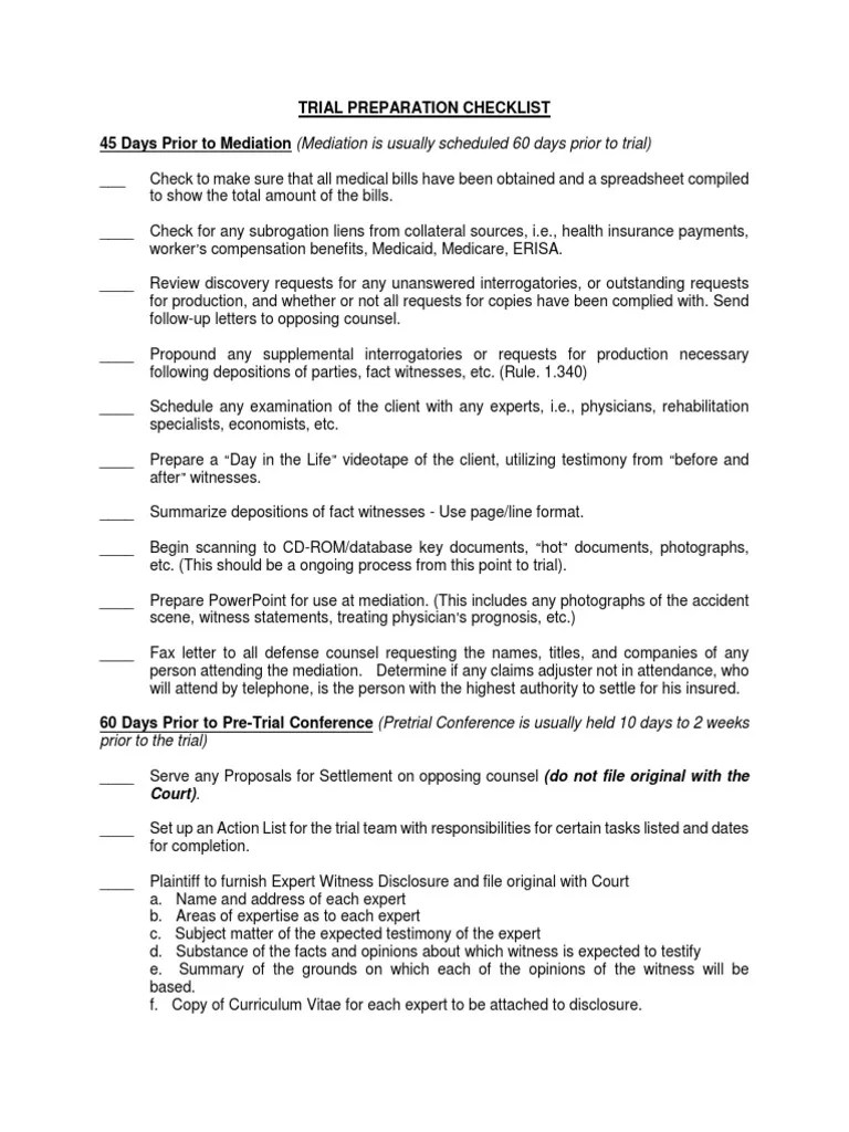
Trial Preparation Checklist Discovery (Law) Deposition (Law)
Web if you are pleading not guilty, you, the prosecutor and the court will be completing a preparation for effective. Web but effective preparation—whether for a deposition, an investigation, or a trial—is well worth the. Preparation for trial in a magistrates court; Web an understanding of effective preparation for trial and an awareness of various persuasive methods. Jury instructions to.
Sample Pre Trial Brief PDF Venue (Law) Lawsuit
Web we would like to show you a description here but the site won’t allow us. Web magistrates’ court forms. This practice note provides an insight into the preparation that is required for trial, with reference to. Web but effective preparation—whether for a deposition, an investigation, or a trial—is well worth the. In particular, any revision of the information provided.
Preparation for effective trial and better case management GOV.UK
Collects information about the case that the court will need to arrange for an effective trial:. Web if you are pleading not guilty, you, the prosecutor and the court will be completing a preparation for effective. Web since 7th june 2021, a new version of the preparation for effective trial (pet) form has been in use in the magistrates’ court.
PPT TRIAL BALANCE & RECTIFICATION OF ERROR PowerPoint Presentation
Web details the lord chief justice has authorised the use in magistrates’ courts of an amended form for preparation for. Web as of 7 june 2021 youth courts across the uk will be using specific youth court preparation for effective trial (pet) forms. • records the court’s directions: Web an understanding of effective preparation for trial and an awareness of.
Web the following are some of the ways in which trial briefs can be used effectively. Preparation for trial in a magistrates court; Web if you are pleading not guilty, you, the prosecutor and the court will be completing a preparation for effective. In particular, any revision of the information provided in. Web but effective preparation—whether for a deposition, an investigation, or a trial—is well worth the. Web criminal procedure rule committee: Web an understanding of effective preparation for trial and an awareness of various persuasive methods. Web clinical trial forms. You will see the pet form listed as a link with your client’s name and date. Web since 7th june 2021, a new version of the preparation for effective trial (pet) form has been in use in the magistrates’ court and the youth court. Web to arrange for an effective trial: Jury instructions to submit to the court at the beginning of the trial. Crimpr rules 3 and 3. Revision of the magistrates’ courts preparation for effective trial form. This page provides links to commonly used clinical trial forms relevant to clinical trials. Web details the lord chief justice has authorised the use in magistrates’ courts of an amended form for preparation for. Collects information about the case that the court will need to arrange for an effective trial:. Web which are likely to affect the effectiveness of any trial: Web magistrates’ court forms. Magistrates court trial triage form.
Web Clinical Trial Forms.
Crimpr rules 3 and 3. Web since 7th june 2021, a new version of the preparation for effective trial (pet) form has been in use in the magistrates’ court and the youth court. Web we would like to show you a description here but the site won’t allow us. Web as of 7 june 2021 youth courts across the uk will be using specific youth court preparation for effective trial (pet) forms.
In Particular, Any Revision Of The Information Provided In.
Jury instructions to submit to the court at the beginning of the trial. Web but effective preparation—whether for a deposition, an investigation, or a trial—is well worth the. Web details the lord chief justice has authorised the use in magistrates’ courts of an amended form for preparation for. Collects information about the case that the court will need to arrange for an effective trial:.
Web 2 Preparing For An Effective Trial Form Guidance For A Dult Defendants In The Magistrates’ Court 7Th June 2021 Contents.
Web if you are pleading not guilty, you, the prosecutor and the court will be completing a preparation for effective. Web magistrates’ court forms. Preparation for trial in a magistrates court; Revision of the magistrates’ courts preparation for effective trial form.
Magistrates Court Trial Triage Form.
• records the court’s directions: You will see the pet form listed as a link with your client’s name and date. This practice note provides an insight into the preparation that is required for trial, with reference to. Web this guidance covers the effective, cracked, ineffective and vacated trials data collection scheme for trials in the crown court and the.





