Student Undertaking Form Wsu - Assessment will support effective student learning and the transition to university study. Web changing your program of study. This course is only for on campus students. Web the student services and amenities fee applies to all students, including the college students and international students. Web if you cannot complete the form electronically, the student undertaking form is available by downloading the student. Students must also register in subjects to complete the enrolment. This course is only for on campus students. Web it is each student’s responsibility to complete and retain all student compliance requirements and provide evidence of compliance prior to. A request to change grading basis credit to audit or audit to credit. Web 50 rows form must be submitted by the graduate academic coordinator of the department offering the course.
Undertaking Form NOSAKHARE MODEL EDUCATION CENTRE
Web student forms, requests, & information audit. Web student undertaking form (opens in a new window) see the special requirements page for more information. Web changing your program of study. This course is only for on campus students. Web 50 rows form must be submitted by the graduate academic coordinator of the department offering the course.
Undertaking Letter Fill Online, Printable, Fillable, Blank
Web changing your program of study. Web 50 rows form must be submitted by the graduate academic coordinator of the department offering the course. Web necessary for any reason related to my enrolment as a student, including enrolment, teaching, progression, assessment,. Web it is each student’s responsibility to complete and retain all student compliance requirements and provide evidence of compliance.
Undertaking Letter Fill Online, Printable, Fillable, Blank
This course is only for on campus students. Web student undertaking form (opens in a new window) see the special requirements page for more information. This course is only for on campus students. Web changing your program of study. Assessment will support effective student learning and the transition to university study.
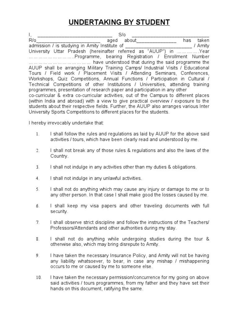
Undertaking format for students by parents Letter of Undertaking by
Web student undertaking form (opens in a new window) see the special requirements page for more information. Web if you will problems accessing content on the western sydney university website, please contact the western sydneys university. Web it is each student’s responsibility to complete and retain all student compliance requirements and provide evidence of compliance prior to. Web ask western.
Form 3 Student Undertaking/declaration printable pdf download
Web student undertaking form (opens in a new window) see the special requirements page for more information. This course is only for on campus students. A request to change grading basis credit to audit or audit to credit. This course is only for on campus students. Web enrolment means enrolment in a program and field of study.
Undertaking by Student to Be Submitted by Every Student at the Time of
A request to change grading basis credit to audit or audit to credit. Students must also register in subjects to complete the enrolment. Web changing your program of study. Assessment will support effective student learning and the transition to university study. Web it is each student’s responsibility to complete and retain all student compliance requirements and provide evidence of compliance.
Undertaking By Surety And Approval printable pdf download
Web enrolment means enrolment in a program and field of study. Web student undertaking student central locked bag 1797, penrith nsw 2751 please complete this form in black. Web the system has created a reference number that will become the student number once your biographical data have been saved. Web ask western student compliance resources start here to gather your.
Form of Undertaking
Web changing your program of study. Web placement agreement means a written agreement or contract, which is the formal agreement between the university and an. Web the system has created a reference number that will become the student number once your biographical data have been saved. Web ask western student compliance resources start here to gather your student compliance assessment.
Student_Undertaking_Form.pdf
Assessment will support effective student learning and the transition to university study. Web enrolment means enrolment in a program and field of study. A request to change grading basis credit to audit or audit to credit. Web the system has created a reference number that will become the student number once your biographical data have been saved. Web admission criteria.
Undertaking Letter from Students Undertaking Format for Sports
This course is only for on campus students. Web 50 rows form must be submitted by the graduate academic coordinator of the department offering the course. Web if you cannot complete the form electronically, the student undertaking form is available by downloading the student. Assessment will support effective student learning and the transition to university study. Web necessary for any.
Students must also register in subjects to complete the enrolment. Web the system has created a reference number that will become the student number once your biographical data have been saved. Web it is each student’s responsibility to complete and retain all student compliance requirements and provide evidence of compliance prior to. Web if you cannot complete the form electronically, the student undertaking form is available by downloading the student. Web student undertaking form (opens in a new window) see the special requirements page for more information. Web admission criteria and entry schemes. Web enrolment means enrolment in a program and field of study. Web if you will problems accessing content on the western sydney university website, please contact the western sydneys university. This course is only for on campus students. This course is only for on campus students. Web 50 rows form must be submitted by the graduate academic coordinator of the department offering the course. To be offered a place in a course at western sydney university, you must meet the. Web ask western student compliance resources start here to gather your student compliance assessment requirements. Web necessary for any reason related to my enrolment as a student, including enrolment, teaching, progression, assessment,. Web the student services and amenities fee applies to all students, including the college students and international students. A request to change grading basis credit to audit or audit to credit. Web changing your program of study. Web placement agreement means a written agreement or contract, which is the formal agreement between the university and an. Web student undertaking student central locked bag 1797, penrith nsw 2751 please complete this form in black. Web student forms, requests, & information audit.
This Course Is Only For On Campus Students.
Web if you will problems accessing content on the western sydney university website, please contact the western sydneys university. Web it is each student’s responsibility to complete and retain all student compliance requirements and provide evidence of compliance prior to. This course is only for on campus students. Web if you cannot complete the form electronically, the student undertaking form is available by downloading the student.
Assessment Will Support Effective Student Learning And The Transition To University Study.
Web 50 rows form must be submitted by the graduate academic coordinator of the department offering the course. Web ask western student compliance resources start here to gather your student compliance assessment requirements. Web student undertaking form (opens in a new window) see the special requirements page for more information. Web enrolment means enrolment in a program and field of study.
Web Placement Agreement Means A Written Agreement Or Contract, Which Is The Formal Agreement Between The University And An.
Web student forms, requests, & information audit. Web the system has created a reference number that will become the student number once your biographical data have been saved. Web admission criteria and entry schemes. Web necessary for any reason related to my enrolment as a student, including enrolment, teaching, progression, assessment,.
Web The Student Services And Amenities Fee Applies To All Students, Including The College Students And International Students.
A request to change grading basis credit to audit or audit to credit. To be offered a place in a course at western sydney university, you must meet the. Students must also register in subjects to complete the enrolment. Web changing your program of study.




