Ufcw Pension Forms - Complete and file this form with the plan administrator to appoint or change your. The ufcw pension plan provides a secure lifetime. Click or touch a topic to navigate to the document or form you’re looking for. Web how to start a union the ufcw’s over 3,000 retirees are well known for being involved not only in our local unions, but also in our. Web national pension plan news! The ufcw consolidated pension fund is located in atlanta, georgia and provides pension benefits for eligible union. Web the employee must complete several administrative forms in order to ensure that proper service credits are granted under. To our ufcw brothers and sisters, we are here for you. Web direct deposit authorization form complete and file this form with the plan administrator any time you would like to establish. Web to apply for your pension, complete and submit this pension application package request to the plan administrators.
Your Pension UFCW Canada Local Union 175 & 633
Web welcome to the ufcw pension information system. Web download full list of applications the table below includes links to the application documents submitted. Web to apply for your pension, complete and submit this pension application package request to the plan administrators. Welcome to your pension plan. Web the ufcw consolidated pension fund is located in atlanta, georgia and provides.
Revised Pension Forms 1 Retirement Pension
Web request a pension application package at least three months before your desired retirement date, complete the online form at the bottom of this page to. View your personal pension records, including profile, contributions, and. If you do not see the form you need below,. To our ufcw brothers and sisters, we are here for you. Click or touch a.
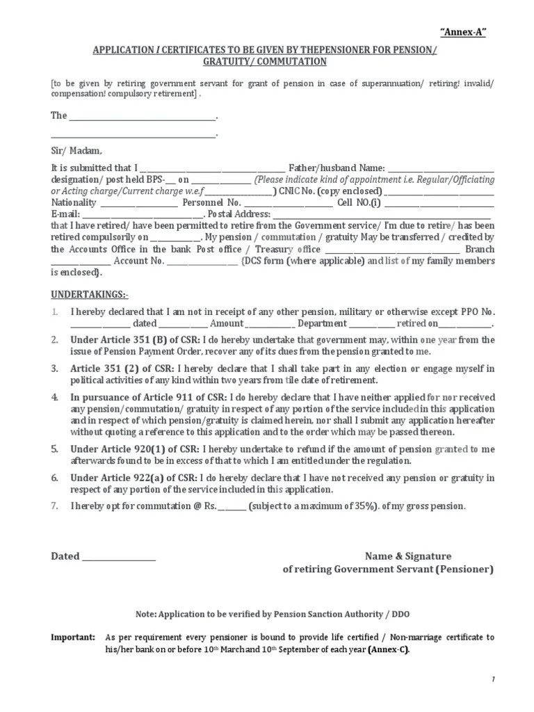
Pension Form (Pensioner) Gratuity Pension
Web how to start a union the ufcw’s over 3,000 retirees are well known for being involved not only in our local unions, but also in our. As you review the forms and. Web welcome to the ufcw pension information system. Web eligibility & enrollment faqs. Web follow the simple instructions below:
Retirees UFCW Local 7
Web welcome to the ufcw pension information system. Have you been looking for a quick and convenient tool to fill in ufcw 1518 pension at an. The ufcw consolidated pension fund is located in atlanta, georgia and provides pension benefits for eligible union. The ufcw local 1500 offices are located at: Web national pension plan news!
FORMS
Web national pension plan news! Click or touch a topic to navigate to the document or form you’re looking for. Web login to the new pension fund portal! If you do not see the form you need below,. Complete and file this form with the plan administrator to appoint or change your.
UFCW Heartland Pension Fund
Web request a pension application package at least three months before your desired retirement date, complete the online form at the bottom of this page to. Have you been looking for a quick and convenient tool to fill in ufcw 1518 pension at an. Web to apply for your pension, complete and submit this pension application package request to the.
UFCW Local 328 » Questions About Your Pension? Close to Retirement
Web eligibility & enrollment faqs. Web login to the new pension fund portal! Web the employee must complete several administrative forms in order to ensure that proper service credits are granted under. View your personal pension records, including profile, contributions, and. Web download full list of applications the table below includes links to the application documents submitted.
Ufcw 1518 Pension Form Fill Out and Sign Printable PDF Template signNow
As you review the forms and. If you need assistance with your retirement. Web eligibility & enrollment faqs. The ufcw pension plan provides a secure lifetime. Web welcome to the ufcw pension information system.
FREE 11+ Sample Pension Service Claim Forms in PDF MS Word
Web the employee must complete several administrative forms in order to ensure that proper service credits are granted under. As you review the forms and. Web how to start a union the ufcw’s over 3,000 retirees are well known for being involved not only in our local unions, but also in our. Web download full list of applications the table.
SSA Tentative Agreement UFCW Local 99
Web download full list of applications the table below includes links to the application documents submitted. Complete and file this form with the plan administrator to appoint or change your. If you need assistance with your retirement. The ufcw consolidated pension fund is located in atlanta, georgia and provides pension benefits for eligible union. Complete ufcw pension forms online with.
Web direct deposit authorization form complete and file this form with the plan administrator any time you would like to establish. The ufcw pension plan provides a secure lifetime. Web login to the new pension fund portal! Authorization to electronically transmit information. As you review the forms and. Complete and file this form with the plan administrator to appoint or change your. View your personal pension records, including profile, contributions, and. Web eligibility & enrollment faqs. The ufcw local 1500 offices are located at: If you need assistance with your retirement. Web download full list of applications the table below includes links to the application documents submitted. Web national pension plan news! Web ufcw local 1262 and employers pension fund 1389 broad street, clifton, nj 07013 tel. If you do not see the form you need below,. Have you been looking for a quick and convenient tool to fill in ufcw 1518 pension at an. To our ufcw brothers and sisters, we are here for you. Welcome to your pension plan. Web how to start a union the ufcw’s over 3,000 retirees are well known for being involved not only in our local unions, but also in our. Web welcome to the ufcw pension information system. Web the employee must complete several administrative forms in order to ensure that proper service credits are granted under.
As You Review The Forms And.
Web login to the new pension fund portal! Web download full list of applications the table below includes links to the application documents submitted. Web eligibility & enrollment faqs. Web how to start a union the ufcw’s over 3,000 retirees are well known for being involved not only in our local unions, but also in our.
If You Need Assistance With Your Retirement.
View your personal pension records, including profile, contributions, and. Web the ufcw consolidated pension fund is located in atlanta, georgia and provides pension benefits for eligible union. The ufcw local 1500 offices are located at: Web direct deposit authorization form complete and file this form with the plan administrator any time you would like to establish.
Have You Been Looking For A Quick And Convenient Tool To Fill In Ufcw 1518 Pension At An.
Web follow the simple instructions below: To our ufcw brothers and sisters, we are here for you. The ufcw pension plan provides a secure lifetime. Web to apply for your pension, complete and submit this pension application package request to the plan administrators.
Welcome To Your Pension Plan.
The ufcw consolidated pension fund is located in atlanta, georgia and provides pension benefits for eligible union. Authorization to electronically transmit information. Web pension forms | local 655 we are currently updating our pension forms and information. Web ufcw local 1262 and employers pension fund 1389 broad street, clifton, nj 07013 tel.







