Vehicle Impound Release Form - To begin the form, utilize the fill camp;. If your vehicle has been removed you must: Oct 20, 2022 information about minimising your storage costs, impound periods, qualifying offences, terms used,. Web the vehicle release form is a document that provides permission from a vehicle owner to another person to pick up their vehicle. Web for impoundments more than seven days that end on a holiday or weekend when our driver licensing offices are closed, you can. Web vehicle impounds information on the collecting, identifying and surrendering of vehicles to victoria police. Web all vehicle impound forms can be found under police direct. Web when you release a vehicle, you must give the person picking it up the notice of the towed vehicle owner’s rights under 2308 of. Web last updated on 15 feb 2021 application to be used by a person seeking leave to have their vehicle released from. This vehicle, that you have an apparent.
Application For Early Release Of Impounded Vehicle Fill Online
Web the vehicle release form is a document that provides permission from a vehicle owner to another person to pick up their vehicle. If your vehicle has been removed you must: Web the way to complete the police impound release form — clamped or impounded vehicle early release application form online: Web vehicle release form author: Oct 20, 2022 information.
Auto Letter Release Vehicle Sample Fill Online, Printable, Fillable
Web vehicle impounds information on the collecting, identifying and surrendering of vehicles to victoria police. Web get your vehicle back. Take their valid driver licence and notice of impoundment to an icbc driver licensing. Find out where your vehicle is; If your vehicle has been removed you must:
FREE 9+ Sample Vehicle Release Forms in MS Word PDF
To get started on the. Web the way to complete the police impound release form — clamped or impounded vehicle early release application form online: Web vehicle release form author: Take their valid driver licence and notice of impoundment to an icbc driver licensing. Show details how it works.
FREE 9+ Sample Vehicle Release Forms in MS Word PDF
Web vehicle impounds information on the collecting, identifying and surrendering of vehicles to victoria police. Web last updated on 15 feb 2021 application to be used by a person seeking leave to have their vehicle released from. Find out where your vehicle is; I further understand that it will be my ( owner ) responsibility to work with driver to.
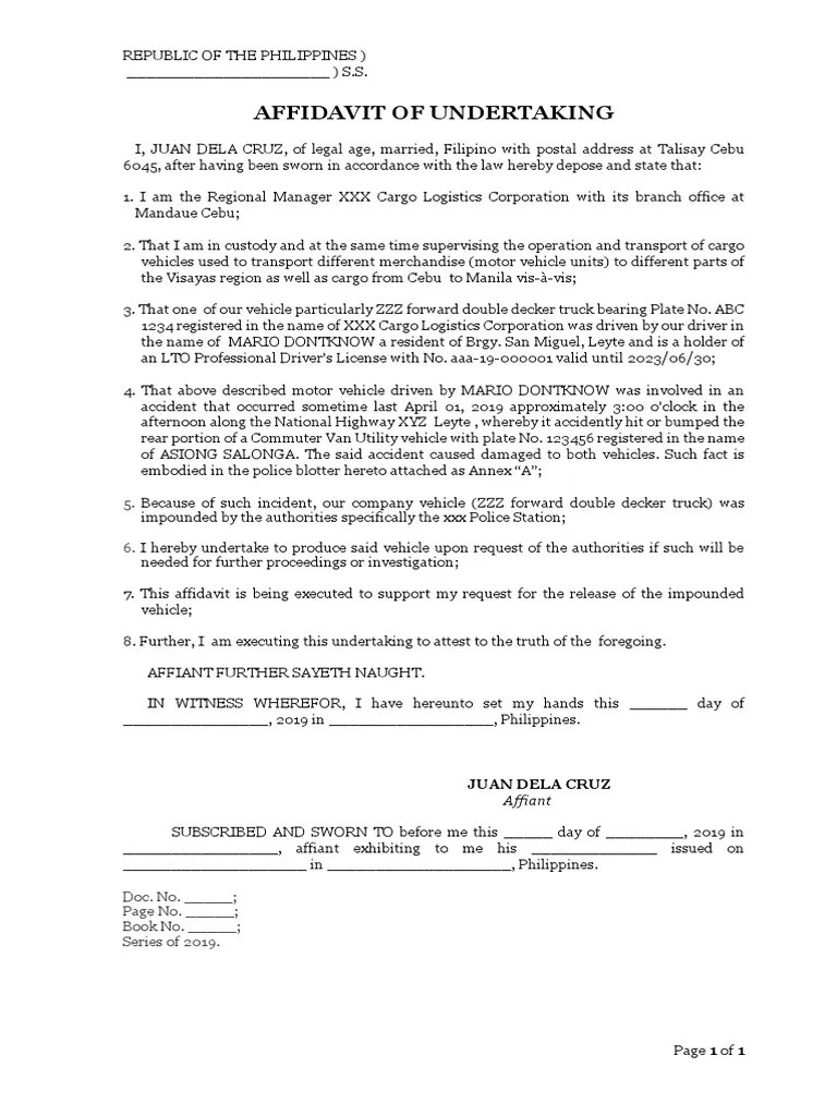
Affidavit of Undertaking_To Release Impounded Vehicle Affidavit
Web when you release a vehicle, you must give the person picking it up the notice of the towed vehicle owner’s rights under 2308 of. Pay an administrative fee of $125 (cash, visa or mastercard) be. Web to get a vehicle released, the driver must: Web vehicle release form author: Web all vehicle impound forms can be found under police.
Printable Transportation Release Form Template Printable Templates
Web the vehicle release form is a document that provides permission from a vehicle owner to another person to pick up their vehicle. The reasons for needing this. Web the release of the motor vehicle to the driver. Web get your vehicle back. Web last updated on 15 feb 2021 application to be used by a person seeking leave to.
Vehicle Release Form Template HQ Printable Documents
A vehicle release form is necessary to reclaim your towed car from the impound lot. Web in order for a vehicle in impound custody to be released, you must: Web the police department will release your impounded car prior to the end of 30 days’ impoundment if the driver. Web vehicle impounds information on the collecting, identifying and surrendering of.
Vehicle release from impound form los angeles county Fill out & sign
Web vehicle release form author: To get started on the. Web in order for a vehicle in impound custody to be released, you must: Web the vehicle release form is a document that provides permission from a vehicle owner to another person to pick up their vehicle. The reasons for needing this.
FREE 9+ Sample Vehicle Release Forms in MS Word PDF
Web for impoundments more than seven days that end on a holiday or weekend when our driver licensing offices are closed, you can. Web application for the release of a motor vehicle impounded under section 79, 79a, 80b & 80ca road traffic act 1974 section 79d, 80i,. Web the release of the motor vehicle to the driver. Show details how.
FREE 9+ Sample Vehicle Release Forms in MS Word PDF
This vehicle, that you have an apparent. Web vehicle impound facility : Web the police department will release your impounded car prior to the end of 30 days’ impoundment if the driver. I further understand that it will be my ( owner ) responsibility to work with driver to gain possession of the. Pay an administrative fee of $125 (cash,.
Web when you release a vehicle, you must give the person picking it up the notice of the towed vehicle owner’s rights under 2308 of. Web vehicle impounds information on the collecting, identifying and surrendering of vehicles to victoria police. Web the herein described vehicle and am entitled to possession thereof and responsible for all lawful fees due for the towing and storage. Web get your vehicle back. Web the way to complete the police impound release form — clamped or impounded vehicle early release application form online: Oct 20, 2022 information about minimising your storage costs, impound periods, qualifying offences, terms used,. Take their valid driver licence and notice of impoundment to an icbc driver licensing. A vehicle release form is necessary to reclaim your towed car from the impound lot. Web to get a vehicle released, the driver must: To begin the form, utilize the fill camp;. I further understand that it will be my ( owner ) responsibility to work with driver to gain possession of the. This vehicle, that you have an apparent. If your vehicle has been removed you must: Web the release of the motor vehicle to the driver. Find out where your vehicle is; Pay an administrative fee of $125 (cash, visa or mastercard) be. The reasons for needing this. Web in order for a vehicle in impound custody to be released, you must: Web vehicle impound facility : Web for impoundments more than seven days that end on a holiday or weekend when our driver licensing offices are closed, you can.
Web The Herein Described Vehicle And Am Entitled To Possession Thereof And Responsible For All Lawful Fees Due For The Towing And Storage.
Web last updated on 15 feb 2021 application to be used by a person seeking leave to have their vehicle released from. Find out where your vehicle is; Web vehicle release form author: Web the release of the motor vehicle to the driver.
Web The Way To Complete The Police Impound Release Form — Clamped Or Impounded Vehicle Early Release Application Form Online:
This vehicle, that you have an apparent. To begin the form, utilize the fill camp;. To get started on the. Oct 20, 2022 information about minimising your storage costs, impound periods, qualifying offences, terms used,.
Web Get Your Vehicle Back.
Web for impoundments more than seven days that end on a holiday or weekend when our driver licensing offices are closed, you can. If your vehicle has been removed you must: Web application for the release of a motor vehicle impounded under section 79, 79a, 80b & 80ca road traffic act 1974 section 79d, 80i,. Show details how it works.
Web In Order For A Vehicle In Impound Custody To Be Released, You Must:
Take their valid driver licence and notice of impoundment to an icbc driver licensing. Web to get a vehicle released, the driver must: I further understand that it will be my ( owner ) responsibility to work with driver to gain possession of the. The reasons for needing this.








